Stratégies sur figures chartiste ratio gain/perte incroyable!

Présentation, Développement, Améliorations et Ressources pour les Stratégies de Trading Manuel (discrétionnaire).

Modérateur : Administrateurs

Message
Auteur
Freagon
Professionnel certifié
Messages : 1375
Inscription : 12 août 2012, 11:58
Localisation : Carcassonne

Re: stategies sur figures chartiste ratio gain/perte incroyable!

#451 Message par Freagon »

Bon sur l eurusd je suis passé positif, mais attention le biseau est toujour valide.je suis sur une temporalité lplus longue. Mais c est tendu j ai acheté dimanche à 1,3017. On est passé positif, mais vu l incertitude pesante je serai tenté de mettre mon stop engnant.ou alors je fait comme toi 4b4z en clôturant lamoitié .
Sinon je patiente simplement.. Pour l instant y a bien eu hier un rebond sur les niveau des 1.3000. Mais pas encore assez puissant...
j ai l ordi pour mettre des images, mais mais mon scénario aussi reste valide ;)

Freagon
Professionnel certifié
Messages : 1375
Inscription : 12 août 2012, 11:58
Localisation : Carcassonne

Re: stategies sur figures chartiste ratio gain/perte incroyable!

#452 Message par Freagon »

Pour le biseau, j avais pas osé comme j avais raté la cassure.pourtant, lors du pullback j aurai pu lol.
Vous vous souvenez du canal drapeau sur l eurJPY et aussi du triangle sur l'usdjpy.ils ont été cassé à la baisse sans atteindre l objectif, et maintenant ils ont été cassé à la hausse.C était comme une fausse cassure à la baisse.je suis à l achat depuis qu' avait réintégré les figures.le triangle symétrique de l l'usdjpy avait fini par ce trasphormer en triangle rectangle avec la résistance à 94.50

Nikko36
Membre actif et régulier
Messages : 96
Inscription : 02 févr. 2012, 12:32

Re: stategies sur figures chartiste ratio gain/perte incroyable!

#453 Message par Nikko36 »

:P Coucou
Avis favorable pour la poursuite haussière malgré le retour dans la zone des 1.30 sur euro doll .
En comparaison , sur differentes paires du forex ( Euro aud , Aud usd ... )
Les paires de carry tiennent bon ( Aud jpy ...)

Le marché pourrais bien continué sur sa lancée à la hausse face au dollard celà méfiance , le scenario tiens tjrs tant qu'on franchis pas a la baisse les 1.2950 .

Un exemple parmis d'autres ( chartisme)
Imagehttp://hpics.li/0c31065.





Cordialement,Nikko36

4b4z
VideoBourse family
Messages : 1290
Inscription : 07 févr. 2010, 17:21
Localisation : bourgogne

Re: stategies sur figures chartiste ratio gain/perte incroyable!

#454 Message par 4b4z »

Je suis toujours baissier sur €$. Cette semaine, si c'est possible je replace mon sl et encore mieux si c'est possible je renforce. Le biseau est toujours valide :wink:



Bonne semaine les cambistes.
Pièces jointes
Capture.JPG

Avatar de l’utilisateur
Fabien LABROUSSE
Administrateur
Messages : 17815
Inscription : 17 mars 2008, 19:41
Localisation : Paris, France

Re: stategies sur figures chartiste ratio gain/perte incroyable!

#455 Message par Fabien LABROUSSE »

Pour ma part je serais plutôt acheteur tant que les précédents plus bas moyen terme tiennent pour viser un retracement de 23.6 voir 3.2%.

Il serait plus sage d'attendre une confirmation de consolidation avec la cassure de la trend line baissière repérer en H4 mais cela diminuerai considérablement le ratio. Je repasserai sur un biais baissier si les plus bas sont cassés.

D'après 2Bremans, le consensus est neutre pour la semaine.
Pièces jointes
eu.jpg
Image

La Structure (par VideoBourse) : Formation sur mesure et évolutive pour optimiser compréhension et résultats en trading

📊 Plateforme de Trading : ProRealTime

💱 Broker : IG

🤝 Contact et échanges avec la communauté : Discord, mail, téléphone, LinkedIn, X (Twitter), Youtube...

📖 Marchés en aparté : Témoignages de traders, investisseurs, analystes et économistes sur les marchés financiers

Nikko36
Membre actif et régulier
Messages : 96
Inscription : 02 févr. 2012, 12:32

Re: stategies sur figures chartiste ratio gain/perte incroyable!

#456 Message par Nikko36 »

Nikko36 a écrit ::P Coucou <BR sab="860">Avis favorable pour la poursuite haussière malgré le retour dans la zone des 1.30 sur euro doll . <BR sab="861">En comparaison , sur differentes paires du forex ( Euro aud , Aud usd ... )<BR sab="862">Les paires de carry tiennent bon ( Aud jpy ...)<BR sab="863"><BR sab="864">Le marché pourrais bien continué sur sa lancée à la hausse face au dollard celà méfiance , le scenario tiens tjrs tant qu'on franchis pas a la baisse les 1.2950 . <BR sab="865"><BR sab="866">Un exemple parmis d'autres ( chartisme)<BR sab="867">Imagehttp://hpics.li/0c31065.<BR sab="868"><BR sab="869"><BR sab="870"><BR sab="871"><BR sab="872"><BR sab="873">Cordialement,Nikko36
Coucou voice la suite

Imagehttp://hpics.li/f2e38f8

Nikko36
Membre actif et régulier
Messages : 96
Inscription : 02 févr. 2012, 12:32

Re: stategies sur figures chartiste ratio gain/perte incroyable!

#457 Message par Nikko36 »

Malheuresement depuis hiers je dois pas etre doué avec le forum pour posté les images :(

Dimanche
http://hpics.li/0c31065
Lundi
http://hpics.li/f2e38f8

Cordialement Nikko36 ( Tjrs en position Long depuis vendredi )

4b4z
VideoBourse family
Messages : 1290
Inscription : 07 févr. 2010, 17:21
Localisation : bourgogne

Re: stategies sur figures chartiste ratio gain/perte incroyable!

#458 Message par 4b4z »

salut nikko c'est pas compliqué pour envoyé une capture d'écran. Tu l'enregistre sur ton bureau ensuite tu vas sur nom du fichier et tu vas la chercher sur parcourir. Tu doubles clique dessus et ensuite tu clique sur ajouter le fichier.

Bon tous le monde est haussier sauf moi. €$ est baissier en d1, et il y a un range en h4. Monbiseau est toujours valide à suivre.

Nikko36
Membre actif et régulier
Messages : 96
Inscription : 02 févr. 2012, 12:32

Re: stategies sur figures chartiste ratio gain/perte incroyable!

#459 Message par Nikko36 »

:wink:
Pour le biseau bien joué en tout cas , par contre je verrais bien une autre baisse vers les 1.3250 qui pourrais faire barrage en tout cas méfiance tout de meme .
L'euro tiens tant qu'on reste au dessus de la trendline qui fais office de validation .
Celà Dis méfiance tout de meme dans les 2 sens .
Je me fie beaucoup au moyenne mobile aussi pour fixé des cibles si je n'arrive pas vraiment a définir un futur prix et aussi sur les fibos ( ex : 20 ,50 ,100 et 200) et la mms20 reste m'a preferé sur l'Euro / Doll .
En tout cas , Bravo pour ta position ( swap positif je pense )

4b4z
VideoBourse family
Messages : 1290
Inscription : 07 févr. 2010, 17:21
Localisation : bourgogne

Re: stategies sur figures chartiste ratio gain/perte incroyable!

#460 Message par 4b4z »

non mon swap est en négatif mais couvert et en même temps ce n'est pas excessif. Et je ne cherche pas à faire du carry sur €$ :wink: :mrgreen: :mrgreen: :mrgreen:

4b4z
VideoBourse family
Messages : 1290
Inscription : 07 févr. 2010, 17:21
Localisation : bourgogne

Re: stategies sur figures chartiste ratio gain/perte incroyable!

#461 Message par 4b4z »

Un petit moment de détente, le clip est réalisé par une équipe du 94 le val de marne. Le pitch un vinyle enregistré en studio. Ensuite il passe de main en main, devient un pur morceau hip hop et repasse de main en main et devient un pur morceau de house. Et à la fin on retrouve le musicos des années 70 faire la manche dans la rue. Et le dj house c'est un max de fric et passe à coté de lui en 4*4. https://www.youtube.com/watch?v=AS42Pwj95yY

Plus fun https://www.youtube.com/watch?v=AS42Pwj95yY

Nikko36
Membre actif et régulier
Messages : 96
Inscription : 02 févr. 2012, 12:32

Re: stategies sur figures chartiste ratio gain/perte incroyable!

#462 Message par Nikko36 »

:roll:
En parlant de carry , je suis sur gbpaud en short .
La paire a tjrs été en baisse et surporte pas trop actuellement les autres paires .

Par contre , regarde la paire euro zar je connais pas le swap .
J'essaye d'analysé la paire et je suis tres surpris de son évolution .
Surtout en Daily regarde bien la vague et le temps sur un abcd eventuel .
vague corrective sur les 61.8 et avec le temps si le pt D suis le temps avec les fibo temporaire , y aurais un gros gain potentiel en short.

Image

4b4z
VideoBourse family
Messages : 1290
Inscription : 07 févr. 2010, 17:21
Localisation : bourgogne

Re: stategies sur figures chartiste ratio gain/perte incroyable!

#463 Message par 4b4z »

pour le carry, il y a des bon trade à faire. Il faut trouver le bon broker, les bonnes entrées et sortir correctement. C est une très bonne stratégie et facile à mettre en place. Mais il faut un money management bien précis et sur le plan psy être capable de tenir des positions sur du très lt.
Un webi qui devrait te plaire nikko http://www.trader-forex.fr/webinaire-forex-carry-trade/ et regarde ce webi cela devrait te plaire aussi http://www.trader-forex.fr/webinaire-fo ... versal-up/

Nikko36
Membre actif et régulier
Messages : 96
Inscription : 02 févr. 2012, 12:32

Re: stategies sur figures chartiste ratio gain/perte incroyable!

#464 Message par Nikko36 »

Ce qui me pose probleme avec ce boker qui est pas mal manque de levier

Bon ba j'ai coupé sur euro doll et je prends une petite position en short .

Image

Nikko36
Membre actif et régulier
Messages : 96
Inscription : 02 févr. 2012, 12:32

Re: stategies sur figures chartiste ratio gain/perte incroyable!

#465 Message par Nikko36 »

Allez go !!!
Image

^^

4b4z
VideoBourse family
Messages : 1290
Inscription : 07 févr. 2010, 17:21
Localisation : bourgogne

Re: stategies sur figures chartiste ratio gain/perte incroyable!

#466 Message par 4b4z »

Rappel,

L'Autorité des marchés financiers rappelle aux utilisateurs des forums de discussion consacrés aux sujets financiers et boursiers que l'émission d'avis sur des valeurs admises aux négociations sur un marché régulé par l'AMF est soumise à certaines exigences réglementaires.

En effet, avec le développement des sites Internet dédiés aux investissements en bourse, des réseaux sociaux, et la multiplication des messages qui en a découlé, de nombreux échanges d'informations et d'opinions ont lieu sur les forums de discussion consacrés aux sujets financiers et boursiers, véhiculant des avis sur des valeurs admises aux négociations sur un marché régulé par l'AMF.

Or, le fait pour toute personne de donner un avis sur une valeur, sans indiquer simultanément la position prise préalablement par elle sur cette même valeur, et de tirer profit de cette situation, est susceptible de constituer un manquement de diffusion de fausse information conformément aux dispositions de l'article 632-1 alinéa 2 du règlement général de l'AMF.

L'AMF demande donc aux utilisateurs de ces forums internet, dès lors qu'ils donnent leur avis sur des valeurs admises aux négociations sur un marché régulé par l'AMF de prendre en considération les dispositions de l'article 632-1 alinéa 2 du règlement général de l'AMF.

A défaut, ils s'exposent au prononcé d'une sanction de la Commission des sanctions de l'Autorité des Marchés Financiers à leur égard

4b4z
VideoBourse family
Messages : 1290
Inscription : 07 févr. 2010, 17:21
Localisation : bourgogne

Re: stategies sur figures chartiste ratio gain/perte incroyable!

#467 Message par 4b4z »

Mon trade est toujours en cours :mrgreen: :mrgreen: :mrgreen:
Pièces jointes
Capture.JPG

Freagon
Professionnel certifié
Messages : 1375
Inscription : 12 août 2012, 11:58
Localisation : Carcassonne

Re: stategies sur figures chartiste ratio gain/perte incroyable!

#468 Message par Freagon »

Bon ben moi j ai toujours pas mon ordi.4b4z , ce biseau continu bien de produire son effet ;) ;) . Bon, amis investisseurs, je reviens dès que j aurais réglé mon problème d ordi qui cache un problèmes plus embêtant (divorce). À bientôt

4b4z
VideoBourse family
Messages : 1290
Inscription : 07 févr. 2010, 17:21
Localisation : bourgogne

Re: stategies sur figures chartiste ratio gain/perte incroyable!

#469 Message par 4b4z »

toujours short sur €$, pour l'instant je garde mon objectif
Pièces jointes
Capture.JPG

4b4z
VideoBourse family
Messages : 1290
Inscription : 07 févr. 2010, 17:21
Localisation : bourgogne

Re: stategies sur figures chartiste ratio gain/perte incroyable!

#470 Message par 4b4z »

finalement je suis sorti un biseau d élargissement descendant c est formé je vai passé long prochainement
Pièces jointes
Capture.JPG

4b4z
VideoBourse family
Messages : 1290
Inscription : 07 févr. 2010, 17:21
Localisation : bourgogne

Re: stategies sur figures chartiste ratio gain/perte incroyable!

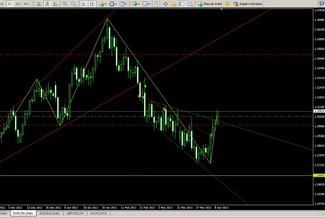
#471 Message par 4b4z »

Achat sur €$ suite à un biseau d'élargissement descendant en D1.
Sl 1.30
Objectif théorique à environ 1.3470
à suivre
Pièces jointes
Capture.JPG

Freagon
Professionnel certifié
Messages : 1375
Inscription : 12 août 2012, 11:58
Localisation : Carcassonne

Re: stategies sur figures chartiste ratio gain/perte incroyable!

#472 Message par Freagon »

Belle enchaînement 4b4z sur cette EURusd . J ai décidé de prendre le même trade mais mon achat est plus tardif donc mon intéressant.toutefois ça ne semble correct.ne faite pas comme moi lol
Je vais aussi passé long aussi sur eurjpy et sur usdjpy si il y a un retracement baissier net...
J ai toujours pas d ordi, et je trade avec mon smartphone.c est pas cool, mais ca moblige à prendre des trade plus évident! ;)

4b4z
VideoBourse family
Messages : 1290
Inscription : 07 févr. 2010, 17:21
Localisation : bourgogne

Re: stategies sur figures chartiste ratio gain/perte incroyable!

#473 Message par 4b4z »

Je viens d'annulé le risque en plaçant mon sl légèrement au dessus du prix d'achat et couvrir le swap.
Pièces jointes
Capture.JPG

4b4z
VideoBourse family
Messages : 1290
Inscription : 07 févr. 2010, 17:21
Localisation : bourgogne

Re: stategies sur figures chartiste ratio gain/perte incroyable!

#474 Message par 4b4z »

Sorti sur breakeven, plus qu"à attendre une nouvelle entrée.
Pièces jointes
Capture.JPG

4b4z
VideoBourse family
Messages : 1290
Inscription : 07 févr. 2010, 17:21
Localisation : bourgogne

Re: stategies sur figures chartiste ratio gain/perte incroyable!

#475 Message par 4b4z »

La sortie du biseau n'est pas invalidé. :arrow: :arrow: :arrow:

Répondre