EUR/USD: Analyses Techniques et Fondamentales
Modérateur : Administrateurs
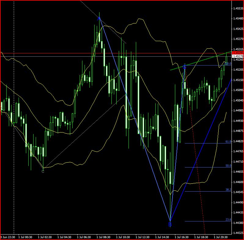
Analyse Euro / Dollar par 4b4z
Possibilité de trade long en m15 sur rebond de la bande inf des bb avec une sortie sur la bande sup.
Euro/usd, en Basic Elliott
Bonjour, je posterai ici mes graph sur €/$ avec la méthode d'Ilan nommée basic elliott, méthode qui consiste a décomposé les cours de manière fractales avec le macdilan.

La Tendance T4 MT (moyen terme) représenté par la mme 104 du degré 4 (bleu) est haussier car t4 en pointillé bleu représenté par la mme 48 est en divergence haussière de T4. Et les cours sont au dessus de T4.
La Tendance T5 CT (court terme) représenté par la mme 52 du degré 5 (noir) est haussier car t5 en pointillé noir représenté par la mme 24 est en divergence haussière de T5. Et les cours sont au dessus de T5.
La Tendance T6 CT (court terme) représenté par la mme 26 du degré 6 (rose) est haussier car t6 pointillé rose représenté par la mme 12 est en divergence haussière de T6. Et les cours sont au dessus de T6.
La Tendance T7 TCT (très court terme) représenté par la mme 9 du degré 7 (gold) est haussier car t7 pointillé gold représenté par le mme 2 est en divergence haussière de t7. Aussi T7p (mme 5 gris) est aussi en divergence haussière par rapport à T7, et les cours sont au dessus de T7.
J'ai tracer un objectif pour la Tendance T6 qui se décomposera normalement en 3 vague ABC du degré 7.

La Tendance T4 MT (moyen terme) représenté par la mme 104 du degré 4 (bleu) est haussier car t4 en pointillé bleu représenté par la mme 48 est en divergence haussière de T4. Et les cours sont au dessus de T4.
La Tendance T5 CT (court terme) représenté par la mme 52 du degré 5 (noir) est haussier car t5 en pointillé noir représenté par la mme 24 est en divergence haussière de T5. Et les cours sont au dessus de T5.
La Tendance T6 CT (court terme) représenté par la mme 26 du degré 6 (rose) est haussier car t6 pointillé rose représenté par la mme 12 est en divergence haussière de T6. Et les cours sont au dessus de T6.
La Tendance T7 TCT (très court terme) représenté par la mme 9 du degré 7 (gold) est haussier car t7 pointillé gold représenté par le mme 2 est en divergence haussière de t7. Aussi T7p (mme 5 gris) est aussi en divergence haussière par rapport à T7, et les cours sont au dessus de T7.
J'ai tracer un objectif pour la Tendance T6 qui se décomposera normalement en 3 vague ABC du degré 7.
- Fabien LABROUSSE
- Administrateur
- Messages : 17752
- Inscription : 17 mars 2008, 19:41
- Localisation : Paris, France
Re: Analyses Techniques et Fondamentales sur EUR/USD

La Structure (par VideoBourse) : Formation sur mesure et évolutive pour optimiser compréhension et résultats en trading
Re: Euro/usd, en Basic Elliott
Bonjour Cyril, Welcome Videobourse !
analyse intéressante, merci, mais peux tu poster ta chart avec le bouton "choisissez un fichier"
ensuite "ajouter le fichier"
on l'aura en taille originale
que penses-tu de mes vagues sur eur-usd ?
analyse intéressante, merci, mais peux tu poster ta chart avec le bouton "choisissez un fichier"
ensuite "ajouter le fichier"
on l'aura en taille originale
que penses-tu de mes vagues sur eur-usd ?
-
ForexAnalysis
- Membre assidu
- Messages : 273
- Inscription : 13 juil. 2009, 09:39
EUR USD pour le 4 juillet 2011
Analyse EUR USD et Forex pour le 04 Juillet 2011
Haussier au dessous de ces points 1,4543 –1,4520 – 1,4481 – 1,4425 – 1,4377 – 1,4076
Tendance haussière au dessus des 1,4425/1,4375.
On devrait être très prudent en de ce début de semaine, pour plusieurs raisons, EURUCHF étant sur un niveau très suracheté une correction de
cette belle poussée sur les 1,18 est possible de même que sur USDCHF et les commodités.
EURUSD devra préserver les 1,4510 sous peine de voir un retour sur les 1,4425/1,4375 qu'il devra préserver pour maintenir EURUSD dans ce
biais haussier.
Je ne pense pas que le marché des changes soit très stable jusqu'au 15 juillet.
On surveillera :
XAUUSD baissier dessous 1503/1513
XAGUSD baissier dessous 34,42/34,87
USDCHF entre 0,8422/0,8515
EURCHF haussier au dessus de 1,21/1,2232 suracheté
EMA12 Daily à 1,4413
SMA150 à 1,3955
Points pivots Daily :
R3 1,4635
R2 1,4607
R1 1,4586
PP 1,4558
S1 1,4537
S2 1,4509
S3 1,4488

Bien à vous
Gilbert Drouvroy pour Forex Pros
Nouveau! Suivez nos Actualité Forex et éco en temps réel : twitter.com/ForexActualites
Avertissement :
Cette analyse est diffusée à titre purement informatif et éducatif et ne constitue en aucune façon un document de sollicitation en vue de l'achat ou de
la vente des instruments financiers émis par la société objet de l'étude.
L'investissement et le trading sont des activités présentant des risques financiers.
Tout investisseur doit donc se faire son propre jugement quant à la pertinence d'un investissement dans une quelconque valeur mobilière émise par la
société mentionnée dans cette analyse, en tenant compte des mérites et des risques qui y sont associés, de sa propre stratégie d'investissement t de
sa situation légale, fiscale et financière.
Haussier au dessous de ces points 1,4543 –1,4520 – 1,4481 – 1,4425 – 1,4377 – 1,4076
Tendance haussière au dessus des 1,4425/1,4375.
On devrait être très prudent en de ce début de semaine, pour plusieurs raisons, EURUCHF étant sur un niveau très suracheté une correction de
cette belle poussée sur les 1,18 est possible de même que sur USDCHF et les commodités.
EURUSD devra préserver les 1,4510 sous peine de voir un retour sur les 1,4425/1,4375 qu'il devra préserver pour maintenir EURUSD dans ce
biais haussier.
Je ne pense pas que le marché des changes soit très stable jusqu'au 15 juillet.
On surveillera :
XAUUSD baissier dessous 1503/1513
XAGUSD baissier dessous 34,42/34,87
USDCHF entre 0,8422/0,8515
EURCHF haussier au dessus de 1,21/1,2232 suracheté
EMA12 Daily à 1,4413
SMA150 à 1,3955
Points pivots Daily :
R3 1,4635
R2 1,4607
R1 1,4586
PP 1,4558
S1 1,4537
S2 1,4509
S3 1,4488

Bien à vous
Gilbert Drouvroy pour Forex Pros
Nouveau! Suivez nos Actualité Forex et éco en temps réel : twitter.com/ForexActualites
Avertissement :
Cette analyse est diffusée à titre purement informatif et éducatif et ne constitue en aucune façon un document de sollicitation en vue de l'achat ou de
la vente des instruments financiers émis par la société objet de l'étude.
L'investissement et le trading sont des activités présentant des risques financiers.
Tout investisseur doit donc se faire son propre jugement quant à la pertinence d'un investissement dans une quelconque valeur mobilière émise par la
société mentionnée dans cette analyse, en tenant compte des mérites et des risques qui y sont associés, de sa propre stratégie d'investissement t de
sa situation légale, fiscale et financière.
- www.tribuforex.fr
- VideoBourse family
- Messages : 3546
- Inscription : 30 nov. 2008, 15:55
Re: Analyses journalieres de la parite EUR/USD
Analyse mise à jour le 04/07/2011:
Commentaire d'analyse de la parité EUR/USD :
La parité EUR/USD vient de valider une cassure haussière de la résistance située à 1,45.
Tous les indicateurs sont haussiers.
Nous maintenons de conseiller de ne traiter que les positions longues sur la parité tant que le cours sera situé au dessus de 1,44.
Un maintien du cours au dessus de 1,45 confortera notre sentiment haussier sur la parité.
Une cassure haussière de 1,46 offrira ensuite un nouveau signal d'achat pour une prolongation du mouvement haussier en direction de 1,47.
En cas de cassure baissière de 1,44 nous attendrons ensuite une cassure baissière de 1,43 pour conseiller d'entrer / de ne traiter plus que les positions shorts sur la parité.
Commentaire d'analyse de la parité EUR/USD :
La parité EUR/USD vient de valider une cassure haussière de la résistance située à 1,45.
Tous les indicateurs sont haussiers.
Nous maintenons de conseiller de ne traiter que les positions longues sur la parité tant que le cours sera situé au dessus de 1,44.
Un maintien du cours au dessus de 1,45 confortera notre sentiment haussier sur la parité.
Une cassure haussière de 1,46 offrira ensuite un nouveau signal d'achat pour une prolongation du mouvement haussier en direction de 1,47.
En cas de cassure baissière de 1,44 nous attendrons ensuite une cassure baissière de 1,43 pour conseiller d'entrer / de ne traiter plus que les positions shorts sur la parité.
Re: Euro/usd, en Basic Elliott
moi je les trouves assez pertinentes quoique je verrais la C4.4 un peu plus prononcée a la baisse mais sinon je te rejoins 
Re: Analyses Techniques et Fondamentales sur EUR/USD
pour moi on va retourner vers 1.41 minimun 
Re: Euro/usd, en Basic Elliott
merci, j'ai mis au pif les derniers tracés juste pour montrer la fin du schéma possible.traders59 a écrit :moi je les trouves assez pertinentes quoique je verrais la C4.4 un peu plus prononcée a la baisse mais sinon je te rejoins
A savoir d'après Elliott, la 3 ne doit pas être la plus courte selon la théorie !
Re: Euro/usd, en Basic Elliott
Bonjour, dsl herzou mais je maitrise pas très bien les vagues elliott pur, je préfère me contenter de celle d'ilan: le basic elliott méthode qui me parait plus complet. Je ne serait pas d'un grand avis sur tes graph .
Re: Euro/usd, en Basic Elliott
Ok
au plaisir de voir tes prochaines charts !
au plaisir de voir tes prochaines charts !
-
ForexAnalysis
- Membre assidu
- Messages : 273
- Inscription : 13 juil. 2009, 09:39
EUR USD pour le 5 juillet 2011
Analyse EUR USD et Forex pour le 05 Juillet 2011
Haussier au dessous de ces points 1,4502 – 1,4516 – 1,4496 – 1,4450 – 1,4391 – 1,4081
Tendance haussière au dessus des 1,4450/1,4388.
Le scénario d'hier c'est pour ainsi dire réaliser après la chute suite à une divergence en 60 mn, reste à savoir si cela va continuer ou pas. Ce
démarrage baissier tiendra si les 1,4510 tiennent, un retour est possible sur cette zone et si la faiblesse est toujours persistante un test des
1,4450/1,4436 est envisageable.
Le point le plus sérieux étant les 1,4417.
On surveillera :
XAUUSD baissier dessous 1500/1511
XAGUSD baissier dessous 34,33/34,79
USDCHF haussier au dessus de 08430
EURCHF haussier au dessus de 1,2180/1,2132 suracheté en 4 heures
AUDUSD surveiller zone 1,0672/1,0635
EMA12 Daily à 1,4417
SMA150 à 1,3963
Points pivots Daily :
R3 1,4643
R2 1,4605
R1 1,4573
PP 1,4535
S1 1,4503
S2 1,4465
S3 1,4433

Bien à vous
Gilbert Drouvroy pour Forex Pros
Nouveau! Suivez nos Actualité Forex et éco en temps réel : twitter.com/ForexActualites
Avertissement :
Cette analyse est diffusée à titre purement informatif et éducatif et ne constitue en aucune façon un document de sollicitation en vue de l'achat ou de
la vente des instruments financiers émis par la société objet de l'étude.
L'investissement et le trading sont des activités présentant des risques financiers.
Tout investisseur doit donc se faire son propre jugement quant à la pertinence d'un investissement dans une quelconque valeur mobilière émise par la
société mentionnée dans cette analyse, en tenant compte des mérites et des risques qui y sont associés, de sa propre stratégie d'investissement t de
sa situation légale, fiscale et financière.
Haussier au dessous de ces points 1,4502 – 1,4516 – 1,4496 – 1,4450 – 1,4391 – 1,4081
Tendance haussière au dessus des 1,4450/1,4388.
Le scénario d'hier c'est pour ainsi dire réaliser après la chute suite à une divergence en 60 mn, reste à savoir si cela va continuer ou pas. Ce
démarrage baissier tiendra si les 1,4510 tiennent, un retour est possible sur cette zone et si la faiblesse est toujours persistante un test des
1,4450/1,4436 est envisageable.
Le point le plus sérieux étant les 1,4417.
On surveillera :
XAUUSD baissier dessous 1500/1511
XAGUSD baissier dessous 34,33/34,79
USDCHF haussier au dessus de 08430
EURCHF haussier au dessus de 1,2180/1,2132 suracheté en 4 heures
AUDUSD surveiller zone 1,0672/1,0635
EMA12 Daily à 1,4417
SMA150 à 1,3963
Points pivots Daily :
R3 1,4643
R2 1,4605
R1 1,4573
PP 1,4535
S1 1,4503
S2 1,4465
S3 1,4433

Bien à vous
Gilbert Drouvroy pour Forex Pros
Nouveau! Suivez nos Actualité Forex et éco en temps réel : twitter.com/ForexActualites
Avertissement :
Cette analyse est diffusée à titre purement informatif et éducatif et ne constitue en aucune façon un document de sollicitation en vue de l'achat ou de
la vente des instruments financiers émis par la société objet de l'étude.
L'investissement et le trading sont des activités présentant des risques financiers.
Tout investisseur doit donc se faire son propre jugement quant à la pertinence d'un investissement dans une quelconque valeur mobilière émise par la
société mentionnée dans cette analyse, en tenant compte des mérites et des risques qui y sont associés, de sa propre stratégie d'investissement t de
sa situation légale, fiscale et financière.
- www.tribuforex.fr
- VideoBourse family
- Messages : 3546
- Inscription : 30 nov. 2008, 15:55
Re: Analyses journalieres de la parite EUR/USD
Analyse mise à jour le 05/07/2011:
Commentaire d'analyse de la parité EUR/USD :
La parité EUR/USD n'est pas parvenue à casser 1,4550
Le cours replonge actuellement sous 1,45.
Les indicateurs restent globalement haussiers.
Nous maintenons de conseiller de ne traiter que les positions longues sur la parité tant que le cours sera situé au dessus de 1,44.
Un retour du cours au dessus de 1,45 confortera notre sentiment haussier sur la parité.
Une cassure haussière de 1,46 offrira ensuite un nouveau signal d'achat pour une prolongation du mouvement haussier en direction de 1,47.
En cas de cassure baissière de 1,44 nous attendrons ensuite une cassure baissière de 1,43 pour conseiller d'entrer / de ne traiter plus que les positions shorts sur la parité.
Commentaire d'analyse de la parité EUR/USD :
La parité EUR/USD n'est pas parvenue à casser 1,4550
Le cours replonge actuellement sous 1,45.
Les indicateurs restent globalement haussiers.
Nous maintenons de conseiller de ne traiter que les positions longues sur la parité tant que le cours sera situé au dessus de 1,44.
Un retour du cours au dessus de 1,45 confortera notre sentiment haussier sur la parité.
Une cassure haussière de 1,46 offrira ensuite un nouveau signal d'achat pour une prolongation du mouvement haussier en direction de 1,47.
En cas de cassure baissière de 1,44 nous attendrons ensuite une cassure baissière de 1,43 pour conseiller d'entrer / de ne traiter plus que les positions shorts sur la parité.
- Fabien LABROUSSE
- Administrateur
- Messages : 17752
- Inscription : 17 mars 2008, 19:41
- Localisation : Paris, France
Re: Euro/usd, en Basic Elliott
J'ai toujours eu du mal avec les vagues d'Elliot, et je trouve que c'est très subjectif.
La difficulté principale que je rencontre vient du fait de savoir limiter la fin d'une vague.
Cyril tu trades depuis longtemps avec ce système?
La difficulté principale que je rencontre vient du fait de savoir limiter la fin d'une vague.
Cyril tu trades depuis longtemps avec ce système?

La Structure (par VideoBourse) : Formation sur mesure et évolutive pour optimiser compréhension et résultats en trading
- Fabien LABROUSSE
- Administrateur
- Messages : 17752
- Inscription : 17 mars 2008, 19:41
- Localisation : Paris, France
Re: Analyses Techniques et Fondamentales sur EUR/USD
Moody's dégrade la note du Portugal, ça devrait t'aider.traders59 a écrit :pour moi on va retourner vers 1.41 minimun
http://www.boursorama.com/international ... 01fd2d7cab
Prochaines zones de supports potentielles selon moi:
Donc 1.4395, 1.4339 et 1.4283. Si on enfonce ce dernier niveau je pense qu'on pourrait rallier en quelques jours / deux semaines les 1.4160, soit le bas du triangle moyen terme.
On va voir.

La Structure (par VideoBourse) : Formation sur mesure et évolutive pour optimiser compréhension et résultats en trading
- Fabien LABROUSSE
- Administrateur
- Messages : 17752
- Inscription : 17 mars 2008, 19:41
- Localisation : Paris, France
Re: Analyse Euro / Dollar par 4b4z
Finalement la bande haute a jouée son rôle de résistance.

La Structure (par VideoBourse) : Formation sur mesure et évolutive pour optimiser compréhension et résultats en trading
Re: Euro/usd, en Basic Elliott
Bonjour,
Je ne trade pas depuis longtemps, je suis encore novice dans le basic elliott cependant j'ai une base exploitable on peut dire, vu que j'ai assimilé le lettrage, et les différentes règle.
Ceux qui m'enseigne cette méthode, trade eux depuis longtemps et sont convaincu par cette méthode qu'ils utilisent toujours. Le fondateur est Ilan il reprend les théorie de dow et de Elliott voici le lien si vous voulez mieux comprendre mon décompte http://basic-elliott.tradersblog.eu/
Je ne trade pas depuis longtemps, je suis encore novice dans le basic elliott cependant j'ai une base exploitable on peut dire, vu que j'ai assimilé le lettrage, et les différentes règle.
Ceux qui m'enseigne cette méthode, trade eux depuis longtemps et sont convaincu par cette méthode qu'ils utilisent toujours. Le fondateur est Ilan il reprend les théorie de dow et de Elliott voici le lien si vous voulez mieux comprendre mon décompte http://basic-elliott.tradersblog.eu/
- www.tribuforex.fr
- VideoBourse family
- Messages : 3546
- Inscription : 30 nov. 2008, 15:55
Re: Analyses journalieres de la parite EUR/USD
Analyse mise à jour le 06/07/2011:
Commentaire d'analyse de la parité EUR/USD :
La parité EUR/USD a trouvé support hier sur 1,44 en extension, mais replonge actuellement sur ce niveau.
Les indicateurs repassent globalement baissiers.
Nous maintenons de conseiller de ne traiter que les positions longues sur la parité tant que le cours sera situé au dessus de 1,44.
Un retour du cours au dessus de 1,45 confortera notre sentiment haussier sur la parité.
Une cassure haussière de 1,46 offrira ensuite un nouveau signal d'achat pour une prolongation du mouvement haussier en direction de 1,47.
En cas de cassure baissière de 1,44 nous attendrons ensuite une cassure baissière de 1,4350 pour conseiller d'entrer / de ne traiter plus que les positions shorts sur la parité.
Commentaire d'analyse de la parité EUR/USD :
La parité EUR/USD a trouvé support hier sur 1,44 en extension, mais replonge actuellement sur ce niveau.
Les indicateurs repassent globalement baissiers.
Nous maintenons de conseiller de ne traiter que les positions longues sur la parité tant que le cours sera situé au dessus de 1,44.
Un retour du cours au dessus de 1,45 confortera notre sentiment haussier sur la parité.
Une cassure haussière de 1,46 offrira ensuite un nouveau signal d'achat pour une prolongation du mouvement haussier en direction de 1,47.
En cas de cassure baissière de 1,44 nous attendrons ensuite une cassure baissière de 1,4350 pour conseiller d'entrer / de ne traiter plus que les positions shorts sur la parité.
-
ForexAnalysis
- Membre assidu
- Messages : 273
- Inscription : 13 juil. 2009, 09:39
EUR USD pour le 6 juillet 2011
Analyse EUR USD et Forex pour le 06 Juillet 2011
Haussier au dessous de ces points 1,4448 – 1,4469 – 1,4476 – 1,4450 – 1,4396 – 1,4086
Tendance haussière au dessus des 1,4450/1,4383.
Pas grand chose à dire EURUSD est venu testé les 1,4417 pour finir au dessus de sa zone support à 1,4450/1,4383. Les mouvements sur
EURUSD étant en partie dus aux mouvements sur commodités et CHF. On pourrait très bien repartir de plus belle aujourd'hui dans des
mouvements reverses.
On restera prudent
On surveillera :
XAUUSD zone pivot 1503/1512
XAGUSD zone pivot 34,55/34,86
USDCHF zone pivot 0,8430
EURCHF zone pivot 1,2178/1,2127
USDYEN zone pivot 80,82/80,69
EMA12 Daily à 1,4421
SMA150 à 1,3971
Points pivots Daily :
R3 1,4664
R2 1,4603
R1 1,4520
PP 1,4459
S1 1,4376
S2 1,4315
S3 1,4232

Bien à vous
Gilbert Drouvroy pour Forex Pros
Nouveau! Suivez nos Actualité Forex et éco en temps réel : twitter.com/ForexActualites
Avertissement :
Cette analyse est diffusée à titre purement informatif et éducatif et ne constitue en aucune façon un document de sollicitation en vue de l'achat ou de
la vente des instruments financiers émis par la société objet de l'étude.
L'investissement et le trading sont des activités présentant des risques financiers.
Tout investisseur doit donc se faire son propre jugement quant à la pertinence d'un investissement dans une quelconque valeur mobilière émise par la
société mentionnée dans cette analyse, en tenant compte des mérites et des risques qui y sont associés, de sa propre stratégie d'investissement t de
sa situation légale, fiscale et financière.
Haussier au dessous de ces points 1,4448 – 1,4469 – 1,4476 – 1,4450 – 1,4396 – 1,4086
Tendance haussière au dessus des 1,4450/1,4383.
Pas grand chose à dire EURUSD est venu testé les 1,4417 pour finir au dessus de sa zone support à 1,4450/1,4383. Les mouvements sur
EURUSD étant en partie dus aux mouvements sur commodités et CHF. On pourrait très bien repartir de plus belle aujourd'hui dans des
mouvements reverses.
On restera prudent
On surveillera :
XAUUSD zone pivot 1503/1512
XAGUSD zone pivot 34,55/34,86
USDCHF zone pivot 0,8430
EURCHF zone pivot 1,2178/1,2127
USDYEN zone pivot 80,82/80,69
EMA12 Daily à 1,4421
SMA150 à 1,3971
Points pivots Daily :
R3 1,4664
R2 1,4603
R1 1,4520
PP 1,4459
S1 1,4376
S2 1,4315
S3 1,4232

Bien à vous
Gilbert Drouvroy pour Forex Pros
Nouveau! Suivez nos Actualité Forex et éco en temps réel : twitter.com/ForexActualites
Avertissement :
Cette analyse est diffusée à titre purement informatif et éducatif et ne constitue en aucune façon un document de sollicitation en vue de l'achat ou de
la vente des instruments financiers émis par la société objet de l'étude.
L'investissement et le trading sont des activités présentant des risques financiers.
Tout investisseur doit donc se faire son propre jugement quant à la pertinence d'un investissement dans une quelconque valeur mobilière émise par la
société mentionnée dans cette analyse, en tenant compte des mérites et des risques qui y sont associés, de sa propre stratégie d'investissement t de
sa situation légale, fiscale et financière.
-
ForexAnalysis
- Membre assidu
- Messages : 273
- Inscription : 13 juil. 2009, 09:39
EUR USD pour le 7 juillet 2011
Analyse EUR USD et Forex pour le 07 Juillet 2011
Baissier dessous ces points 1,4327 – 1,4360 – 1,4406 – 1,4417 – 1,4387 – 1,4087
EURUSD est passé dessous sa zone pivot 1,4417/1,4372, il aura fallu une dégradation par Moody's de la note du Portugal tout ca pour enfoncer
une porte qui était déjà ouverte.
Résultat on se retrouve avec des commodités en surachat et un EURCHF en survente. Cela devient un peut n'importe quoi !
Donc on surveillera les 1,4417/1,4372 qui est la zone pivot on est baissier dessous cette zone mais étant donné l'état des commodités et de
EURCHF on ne peut pas exclure un rebond technique, on est en fin de semaine et le 15 juillet approche. La situation est asynchrone et dangereuse.
Car cette dégradation aurait plutôt tendance à augmenter une décorrélation qui était en place. Si un ratrappage devait se faire il pourrait être violent
On surveillera :
XAUUSD zone pivot 1515/1510
XAGUSD zone pivot 34,95/35,05
USDCHF zone pivot 0,8420
EURCHF zone pivot 1,2100/1,2140
USDYEN zone pivot 80,85/80,70
EMA12 Daily à 1,4401
SMA150 à 1,3977
Points pivots Daily :
R3 1,4619
R2 1,4543
R1 1,4439
PP 1,4363
S1 1,4259
S2 1,4183
S3 1,4079

http://www.forexpros.fr/technical/points-pivot
Bien à vous
Gilbert Drouvroy pour Forex Pros
Nouveau! Suivez nos Actualité Forex et éco en temps réel : twitter.com/ForexActualites
Avertissement :
Cette analyse est diffusée à titre purement informatif et éducatif et ne constitue en aucune façon un document de sollicitation en vue de l'achat ou de
la vente des instruments financiers émis par la société objet de l'étude.
L'investissement et le trading sont des activités présentant des risques financiers.
Tout investisseur doit donc se faire son propre jugement quant à la pertinence d'un investissement dans une quelconque valeur mobilière émise par la
société mentionnée dans cette analyse, en tenant compte des mérites et des risques qui y sont associés, de sa propre stratégie d'investissement t de
sa situation légale, fiscale et financière.
Baissier dessous ces points 1,4327 – 1,4360 – 1,4406 – 1,4417 – 1,4387 – 1,4087
EURUSD est passé dessous sa zone pivot 1,4417/1,4372, il aura fallu une dégradation par Moody's de la note du Portugal tout ca pour enfoncer
une porte qui était déjà ouverte.
Résultat on se retrouve avec des commodités en surachat et un EURCHF en survente. Cela devient un peut n'importe quoi !
Donc on surveillera les 1,4417/1,4372 qui est la zone pivot on est baissier dessous cette zone mais étant donné l'état des commodités et de
EURCHF on ne peut pas exclure un rebond technique, on est en fin de semaine et le 15 juillet approche. La situation est asynchrone et dangereuse.
Car cette dégradation aurait plutôt tendance à augmenter une décorrélation qui était en place. Si un ratrappage devait se faire il pourrait être violent
On surveillera :
XAUUSD zone pivot 1515/1510
XAGUSD zone pivot 34,95/35,05
USDCHF zone pivot 0,8420
EURCHF zone pivot 1,2100/1,2140
USDYEN zone pivot 80,85/80,70
EMA12 Daily à 1,4401
SMA150 à 1,3977
Points pivots Daily :
R3 1,4619
R2 1,4543
R1 1,4439
PP 1,4363
S1 1,4259
S2 1,4183
S3 1,4079

http://www.forexpros.fr/technical/points-pivot
Bien à vous
Gilbert Drouvroy pour Forex Pros
Nouveau! Suivez nos Actualité Forex et éco en temps réel : twitter.com/ForexActualites
Avertissement :
Cette analyse est diffusée à titre purement informatif et éducatif et ne constitue en aucune façon un document de sollicitation en vue de l'achat ou de
la vente des instruments financiers émis par la société objet de l'étude.
L'investissement et le trading sont des activités présentant des risques financiers.
Tout investisseur doit donc se faire son propre jugement quant à la pertinence d'un investissement dans une quelconque valeur mobilière émise par la
société mentionnée dans cette analyse, en tenant compte des mérites et des risques qui y sont associés, de sa propre stratégie d'investissement t de
sa situation légale, fiscale et financière.
- Fabien LABROUSSE
- Administrateur
- Messages : 17752
- Inscription : 17 mars 2008, 19:41
- Localisation : Paris, France
Re: Euro/usd, en Basic Elliott
Tu peux nous expliquer comment interpréter tes graphiques stp?

La Structure (par VideoBourse) : Formation sur mesure et évolutive pour optimiser compréhension et résultats en trading
- www.tribuforex.fr
- VideoBourse family
- Messages : 3546
- Inscription : 30 nov. 2008, 15:55
Re: Analyses journalieres de la parite EUR/USD
Analyse mise à jour le 08/07/2011:
Commentaire d'analyse de la parité EUR/USD :
La parité EUR/USD a trouvé support hier sur 1,44 en extension, mais replonge actuellement sur ce niveau.
Les indicateurs repassent globalement baissiers.
Nous maintenons de conseiller de ne traiter que les positions longues sur la parité tant que le cours sera situé au dessus de 1,44.
Un retour du cours au dessus de 1,45 confortera notre sentiment haussier sur la parité.
Une cassure haussière de 1,46 offrira ensuite un nouveau signal d'achat pour une prolongation du mouvement haussier en direction de 1,47.
En cas de cassure baissière de 1,44 nous attendrons ensuite une cassure baissière de 1,4350 pour conseiller d'entrer / de ne traiter plus que les positions shorts sur la parité.
Commentaire d'analyse de la parité EUR/USD :
La parité EUR/USD a trouvé support hier sur 1,44 en extension, mais replonge actuellement sur ce niveau.
Les indicateurs repassent globalement baissiers.
Nous maintenons de conseiller de ne traiter que les positions longues sur la parité tant que le cours sera situé au dessus de 1,44.
Un retour du cours au dessus de 1,45 confortera notre sentiment haussier sur la parité.
Une cassure haussière de 1,46 offrira ensuite un nouveau signal d'achat pour une prolongation du mouvement haussier en direction de 1,47.
En cas de cassure baissière de 1,44 nous attendrons ensuite une cassure baissière de 1,4350 pour conseiller d'entrer / de ne traiter plus que les positions shorts sur la parité.
-
ForexAnalysis
- Membre assidu
- Messages : 273
- Inscription : 13 juil. 2009, 09:39
EUR USD pour le 8 juillet 2011
Analyse EUR USD et Forex pour le 08 Juillet 2011
Baissier dessous ces points 1,4347 – 1,4371 – 1,4395 – 1,4381 – 1,4091
EURUSD dessous sa zone pivot à 1,4395/1,4365, le mouvement a été rapide la réponse aussi, plus de surprise les taux de l'UE à 1,5% alors que
ceux des grandes économies occidentales encore au tapis.
Le rebond a ramené EURUSD dessous sa zone pivot, qui graphiquement pourrait s'apparenter à un double creux en ADAM et EVE sur le graph
hourly, ce qui donnerait les 1,4527 c'est quand même assez marrant cette coincidence car cela nous renvoie sur le haut du triangle.
Quoiqu'il en soit on surveillera la zone pivot 1,4395/1,4365 qu'il faudra refranchir pour redonner du biais haussier à EURUSD.
On surveillera :
XAUUSD zone pivot 1516/1518
XAGUSD zone pivot 35,36/35,35,27
USDCHF zone pivot 0,8426/0,8415
EURCHF zone pivot 1,2130/1,2088
USDYEN zone pivot 80,95/80,76
GBPYEN zone pivot 129,71/129,58
EMA12 Daily à 1,4387
SMA150 à 1,3985
Points pivots Daily :
R3 1,4568
R2 1,4471
R1 1,4416
PP 1,4319
S1 1,4264
S2 1,4167
S3 1,4112

Bien à vous
Gilbert Drouvroy pour Forex Pros
Nouveau! Suivez nos Actualité Forex et éco en temps réel : twitter.com/ForexActualites
Avertissement :
Cette analyse est diffusée à titre purement informatif et éducatif et ne constitue en aucune façon un document de sollicitation en vue de l'achat ou de
la vente des instruments financiers émis par la société objet de l'étude.
L'investissement et le trading sont des activités présentant des risques financiers.
Tout investisseur doit donc se faire son propre jugement quant à la pertinence d'un investissement dans une quelconque valeur mobilière émise par la
société mentionnée dans cette analyse, en tenant compte des mérites et des risques qui y sont associés, de sa propre stratégie d'investissement t de
sa situation légale, fiscale et financière.
Baissier dessous ces points 1,4347 – 1,4371 – 1,4395 – 1,4381 – 1,4091
EURUSD dessous sa zone pivot à 1,4395/1,4365, le mouvement a été rapide la réponse aussi, plus de surprise les taux de l'UE à 1,5% alors que
ceux des grandes économies occidentales encore au tapis.
Le rebond a ramené EURUSD dessous sa zone pivot, qui graphiquement pourrait s'apparenter à un double creux en ADAM et EVE sur le graph
hourly, ce qui donnerait les 1,4527 c'est quand même assez marrant cette coincidence car cela nous renvoie sur le haut du triangle.
Quoiqu'il en soit on surveillera la zone pivot 1,4395/1,4365 qu'il faudra refranchir pour redonner du biais haussier à EURUSD.
On surveillera :
XAUUSD zone pivot 1516/1518
XAGUSD zone pivot 35,36/35,35,27
USDCHF zone pivot 0,8426/0,8415
EURCHF zone pivot 1,2130/1,2088
USDYEN zone pivot 80,95/80,76
GBPYEN zone pivot 129,71/129,58
EMA12 Daily à 1,4387
SMA150 à 1,3985
Points pivots Daily :
R3 1,4568
R2 1,4471
R1 1,4416
PP 1,4319
S1 1,4264
S2 1,4167
S3 1,4112

Bien à vous
Gilbert Drouvroy pour Forex Pros
Nouveau! Suivez nos Actualité Forex et éco en temps réel : twitter.com/ForexActualites
Avertissement :
Cette analyse est diffusée à titre purement informatif et éducatif et ne constitue en aucune façon un document de sollicitation en vue de l'achat ou de
la vente des instruments financiers émis par la société objet de l'étude.
L'investissement et le trading sont des activités présentant des risques financiers.
Tout investisseur doit donc se faire son propre jugement quant à la pertinence d'un investissement dans une quelconque valeur mobilière émise par la
société mentionnée dans cette analyse, en tenant compte des mérites et des risques qui y sont associés, de sa propre stratégie d'investissement t de
sa situation légale, fiscale et financière.
-
ForexAnalysis
- Membre assidu
- Messages : 273
- Inscription : 13 juil. 2009, 09:39
EUR USD pour le 11 juillet 2011
Analyse EUR USD et Forex pour le 11 Juillet 2011
Baissier dessous ces points 1,4218 – 1,4258 – 1,4302 – 1,4345 – 1,4361
Haussier au dessus de ce point 1,4090
EURUSD dessous sa zone pivot à 1,4345/1,4361, EURUSD se retrouve dans un biseau sur le bas d'un triangle daily dans une survente en 180 mn
et tout le monde semble d'accord pour faire baisser la devise européenne.
EURUSD arrive sur une zone forte qui a servi de zone de rebond depuis nombre de fois.
La zone est comprise entre 1,4156 et 1,3968, nous avons une trend line à 1,4168, on peut pas exclure un nouveau rebond sur cette zone, pour des
raisons toutes aussi diverses que la survente en 180 mn, les excès sur CHF, la négociation de la dette américaine, la modification du marché
américains des commodités, le YEN et les problèmes issus du mois de MARS, on en finit par oublier le Japon et pourtant les problèmes sont
toujours là et le danger aussi, preuve en est le tremblement de terre de ce week-end.
Je pense qu'il faut rester prudent tant que le 15 juillet n'est pas passé.
On surveillera :
XAUUSD zone pivot 1524/1522
XAGUSD zone pivot 35,76/35,35,47
USDCHF zone pivot 0,8414/0,8404
EURCHF zone pivot 1,2072/1,2054
USDYEN zone pivot 80,89/80,76
GBPYEN zone pivot 129,60/129,51
EMA12 Daily à 1,4343
SMA150 à 1,3989
Points pivots Daily :
R3 1,4254
R2 1,4240
R1 1,4226
PP 1,4212
S1 1,4198
S2 1,4184
S3 1,4170

Bien à vous
Gilbert Drouvroy pour Forex Pros
Nouveau! Suivez nos Actualité Forex et éco en temps réel : twitter.com/ForexActualites
Avertissement :
Cette analyse est diffusée à titre purement informatif et éducatif et ne constitue en aucune façon un document de sollicitation en vue de l'achat ou de
la vente des instruments financiers émis par la société objet de l'étude.
L'investissement et le trading sont des activités présentant des risques financiers.
Tout investisseur doit donc se faire son propre jugement quant à la pertinence d'un investissement dans une quelconque valeur mobilière émise par la
société mentionnée dans cette analyse, en tenant compte des mérites et des risques qui y sont associés, de sa propre stratégie d'investissement t de
sa situation légale, fiscale et financière.
Baissier dessous ces points 1,4218 – 1,4258 – 1,4302 – 1,4345 – 1,4361
Haussier au dessus de ce point 1,4090
EURUSD dessous sa zone pivot à 1,4345/1,4361, EURUSD se retrouve dans un biseau sur le bas d'un triangle daily dans une survente en 180 mn
et tout le monde semble d'accord pour faire baisser la devise européenne.
EURUSD arrive sur une zone forte qui a servi de zone de rebond depuis nombre de fois.
La zone est comprise entre 1,4156 et 1,3968, nous avons une trend line à 1,4168, on peut pas exclure un nouveau rebond sur cette zone, pour des
raisons toutes aussi diverses que la survente en 180 mn, les excès sur CHF, la négociation de la dette américaine, la modification du marché
américains des commodités, le YEN et les problèmes issus du mois de MARS, on en finit par oublier le Japon et pourtant les problèmes sont
toujours là et le danger aussi, preuve en est le tremblement de terre de ce week-end.
Je pense qu'il faut rester prudent tant que le 15 juillet n'est pas passé.
On surveillera :
XAUUSD zone pivot 1524/1522
XAGUSD zone pivot 35,76/35,35,47
USDCHF zone pivot 0,8414/0,8404
EURCHF zone pivot 1,2072/1,2054
USDYEN zone pivot 80,89/80,76
GBPYEN zone pivot 129,60/129,51
EMA12 Daily à 1,4343
SMA150 à 1,3989
Points pivots Daily :
R3 1,4254
R2 1,4240
R1 1,4226
PP 1,4212
S1 1,4198
S2 1,4184
S3 1,4170

Bien à vous
Gilbert Drouvroy pour Forex Pros
Nouveau! Suivez nos Actualité Forex et éco en temps réel : twitter.com/ForexActualites
Avertissement :
Cette analyse est diffusée à titre purement informatif et éducatif et ne constitue en aucune façon un document de sollicitation en vue de l'achat ou de
la vente des instruments financiers émis par la société objet de l'étude.
L'investissement et le trading sont des activités présentant des risques financiers.
Tout investisseur doit donc se faire son propre jugement quant à la pertinence d'un investissement dans une quelconque valeur mobilière émise par la
société mentionnée dans cette analyse, en tenant compte des mérites et des risques qui y sont associés, de sa propre stratégie d'investissement t de
sa situation légale, fiscale et financière.










